来源:农学院
近日,beat365农学院彭杰教授团队接连在国际土壤光谱领域TOP期刊发表2项关于土壤光谱方向的研究成果,beat365中文登录入口均为第一完成单位,该研究成果表明团队在土壤光谱研究领域取得重要进展。
彭杰教授作为通讯作者、硕士研究生白子金作为第一作者,在《Geoderma》(SCI,中科院一区Top,IF=6.1)在线发表了题为“Estimation of soil inorganic carbon with visible near-infrared spectroscopy coupling of variable selection and deep learning in arid region of China(利用可见近红外光谱耦合变量选择和深度学习估算中国干旱地区土壤无机碳含量)”的研究成果。

图1技术路线图
该文详细阐述了可见光近红外光谱技术检测土壤无机碳的能力。研究结果表明,变量选择算法可以显著提高土壤无机碳光谱估算精度,相应的估算精度依次为区间随机蛙跳(IRF)>迭代保留有效信息变量(IRIV)>粒子群算法(PSO)>竞争性自适应重加权算法(CARS)>蚁群算法(ACO)。四种深度学习模型都具有较高的预测精度,每种方法的建模精度依次为长短期记忆神经网络(LSTM)>一维卷积神经网络(1D-CNN)>二维卷积神经网络(2D-CNN)>深度置信网络(DBN)。区间随机蛙跳(IRF)和长短期记忆神经网络(LSTM)组合模型的估算精度最高(校准数据集的R2= 0.93,RMSE = 1.26 g kg-1;验证数据集的R2= 0.92,RMSE = 1.37 g kg-1)。这项研究表明,深度学习与变量选择算法相结合,可以快速、准确地检测出土壤无机碳含量。

图2不同建模方法结合IRF算法的土壤无机碳检测结果
论文链接:https://doi.org/10.1016/j.geoderma.2023.116589
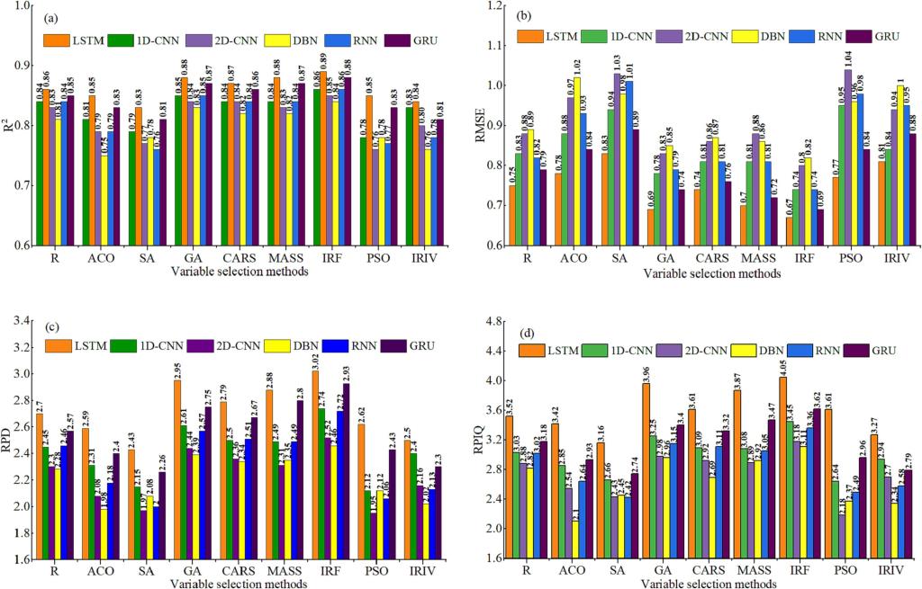
彭杰教授作为通讯作者、硕士研究生王煜作为第一作者,在《Computers and Electronics in Agriculture》(SCI,中科院一区Top,IF=8.30)在线发表了题为“A comparison of multiple deep learning methods for predicting soil organic carbon in Southern Xinjiang, China(多种深度学习方法在预测中国南疆土壤有机碳方面的比较)”的研究成果。
该研究结果表明,深度学习算法预测土壤有机碳的能力明显优于随机森林。在6种深度学习方法中,长短期记忆神经网络(LSTM)模型具有最高的预测性能,而深度置信网络(DBN)模型相对较差。一维卷积神经网络(1D-CNN)、二维卷积神经网络(2D-CNN)、循环神经网络(RNN)和深度置信网络(DBN)对样本容量更为敏感。对大数据样本而言(990个样本),基于8种特征选择方法的特征子集建立的深度学习模型与全谱(350-2500 nm)预测模型相比,8种特征选择方法中的4种与深度学习算法相结合可以提高对土壤有机碳的预测。在为土壤有机碳开发的所有模型中,IRF-LSTM模型实现了最佳预测,验证R2为0.89。该研究结果为干旱半干旱地区低含量土壤有机碳光谱高精度检测提供了理论和技术指导。

图3深度学习模型的训练和平均测试时间

图4不同特征选择模型的土壤有机质测试结果与性能指标
论文链接:https://doi.org/10.1016/j.compag.2023.108067